• Предмет: Математика
  • Автор: KysokKosmosa
  • Вопрос задан 3 года назад

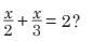
ПОМОГИТЕ СРОЧНО Какое из приведенных чисел является корнем уравнения Отверы: А. 15 см. Б. 30 см. В. 40 см. Г. 60 см. Д. 10 см.

Приложения:

KysokKosmosa: а еще забыл добавить, что надо розписать это все

Ответы

Ответ дал: binamaksimchuk
0

Ответ:

Пошаговое объяснение:

\frac{x}{2} +\frac{x}{3} =2\\\\3x+2x=12\\\\5x=12\\\\x=12:5\\\\x=2,4

Вас заинтересует