• Предмет: Алгебра
  • Автор: KRON9
  • Вопрос задан 3 года назад

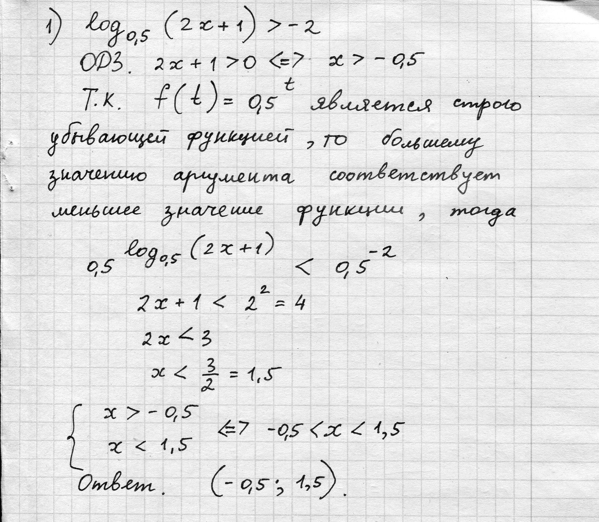
ПОМОГИТЕ ПЖ!!Решите неравенства 1)log0,5(2x+1)>-2 2)cosx>=корень из 2/2

Ответы

Ответ дал: Аноним
1

я написал решение на двух листочках ===>>

Приложения:
Вас заинтересует