• Предмет: Математика
  • Автор: xacker18
  • Вопрос задан 3 года назад

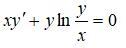
ПОМОГИТЕ ПОЖАЛУЙСТА РЕШИТЬ ЗАДАНИЕ ЖЕЛАТЕЛЬНО С РЕШЕНИЕМ!!!!!!!!! Найти общее решение (общий интеграл) дифференциального уравнения I по-рядка:

Приложения:

Ответы

Ответ дал: Miroslava227
1

Ответ:

решение на фотографии

Приложения:
Вас заинтересует