• Предмет: Математика
  • Автор: budzimanoa99
  • Вопрос задан 3 года назад

Решите уравнение срочно (n+2)!/n!=42

Ответы

Ответ дал: lidiasaraa3
0

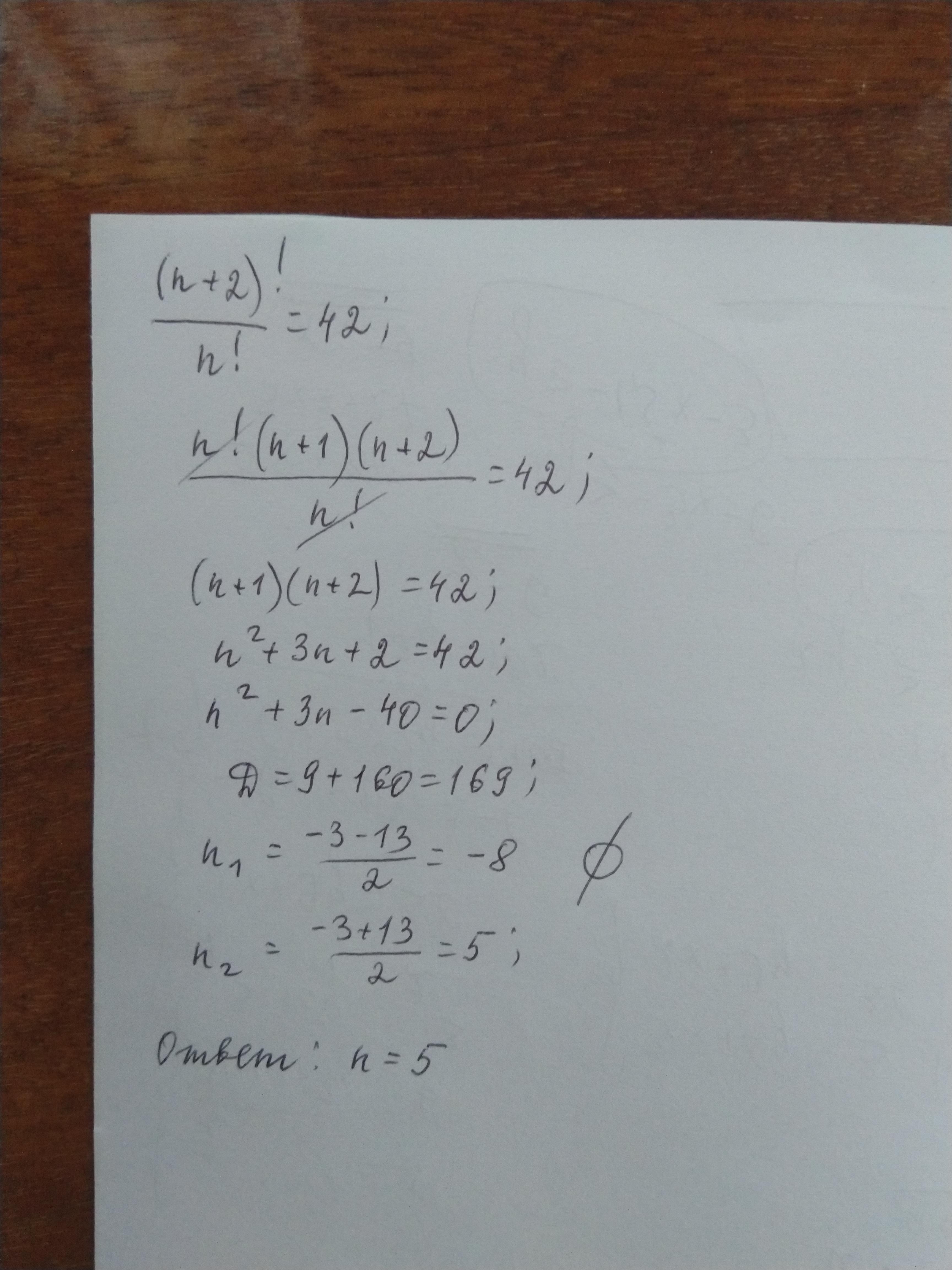
..............................

Приложения:
Ответ дал: Mr0tvet55555
0

Ответ:

n=5

Пошаговое объяснение:

\frac{n+2!}{n!} =42

\frac{n!(n+1)(n+2)}{n!} =42

(n+1)(n+2)=42

n^2+3n+2=42

n^2+3n=-40=0

D=9+160=169

n_1= \frac{-3-13}{2}=\frac{-16}{2} =-8

n_2= \frac{-3+13}{2} =\frac{10}{2}=5

Вроде так)

Вас заинтересует