• Предмет: Алгебра
  • Автор: yzqrmey792
  • Вопрос задан 3 года назад

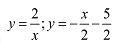
Найти площадь фигуры, ограниченной линиями: y=2/x, y=-x/2-5/2

Приложения:

Ответы

Ответ дал: NNNLLL54
0

y=\dfrac{2}{x}\ \ ,\ \ y=-\dfrac{x}{2}-\dfrac{5}{2}\ \ \to \ \ y=-\dfrac{x+5}{2}\\\\\dfrac{2}{x}=-\dfrac{x+5}{2}\ \ ,\ \ 4=-(x^2+5x)\ \ ,\ \ x^2+5x+4=0\ \ ,\ \ x_1=-1\ ,\ x_2=-4\\\\\\S=\int\limits^{-4}_{-1}\, \Big(\dfrac{2}{x}+\dfrac{x}{2}+\dfrac{5}{2}\Big)\, dx= \Big(2\, ln|x|+\dfrac{x^2}{4}+\dfrac{5x}{2}\Big)\Big|_{-4}^{-1}=\\\\\\=2ln1+\dfrac{1}{4}-\dfrac{5}{2}-\Big(2\, ln4+4-10\Big)=\dfrac{15}{4}-2\, ln2^2=3,75-4ln2

Приложения:
Вас заинтересует