• Предмет: Математика
  • Автор: wrwrwr28
  • Вопрос задан 3 года назад

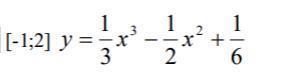
помогите срочно Найти наибольшее и наименьшее значение функции в интервале

Приложения:

Ответы

Ответ дал: Тихон1000
1

Ответ:

см. на рисунке.

Пошаговое объяснение:

прилагаю изображение. жду вопросов))

Приложения:
Вас заинтересует