• Предмет: Математика
  • Автор: Shirase
  • Вопрос задан 3 года назад

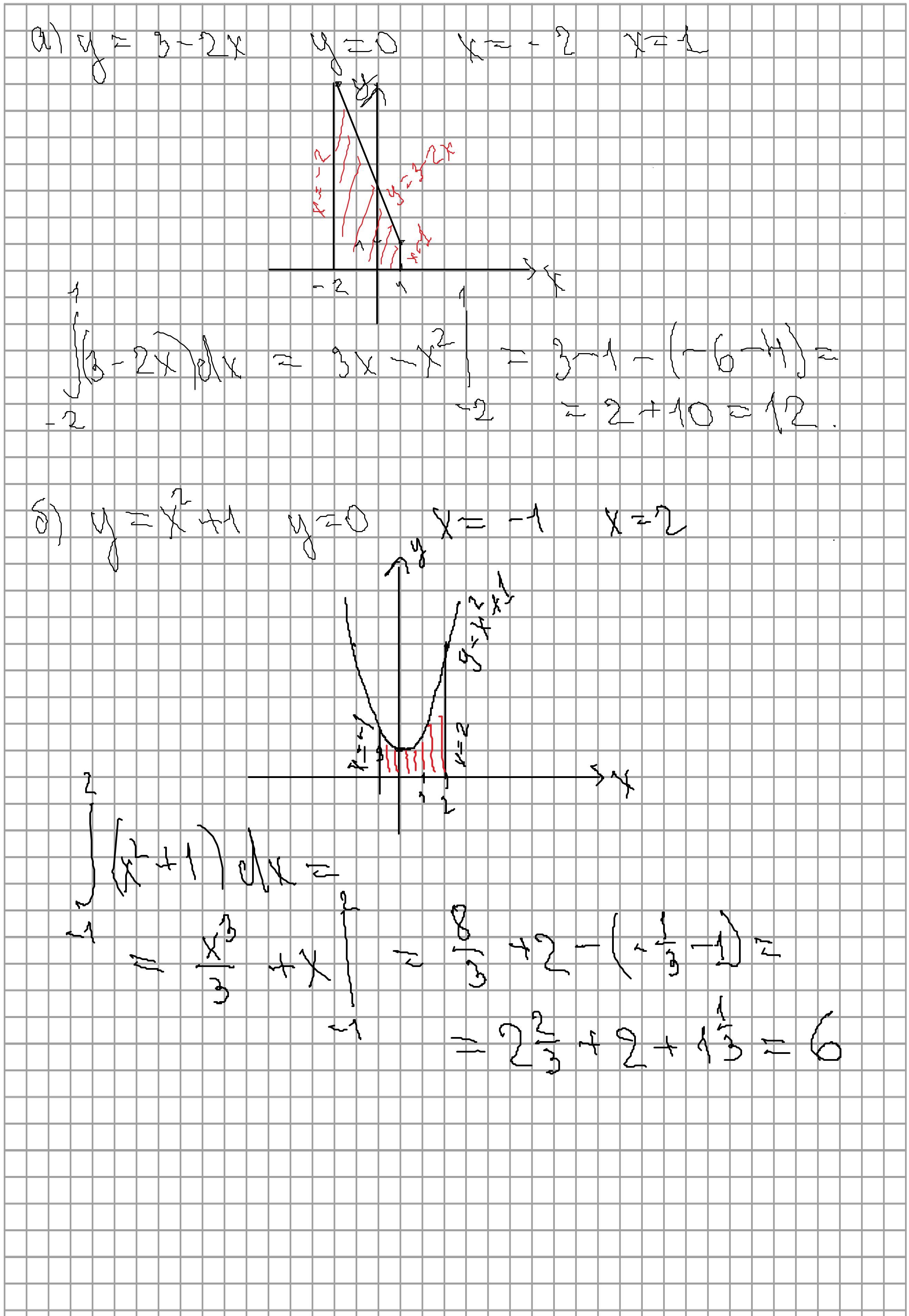
Ничего не понимаю решите пожалуйста ) Срочно нужно. Хотя бы один пример

Приложения:

Ответы

Ответ дал: kalinintalin
1

Ответ:

a)12

b)6

Пошаговое объяснение:

Приложения:
Вас заинтересует