• Предмет: Математика
  • Автор: nevatroll
  • Вопрос задан 3 года назад

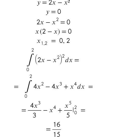
Вычислить объем тела, полученного вращением фигуры, ограниченной линиями y=2x-x², y=0 вокруг оси ОХ.

Ответы

Ответ дал: Decoration
3

Ответ:

Пошаговое объяснение:

Приложения:
Вас заинтересует