Решите уравнение (x+1)^2*x/(x^2+x+1)^2=0.24
Simba2017:
вопрос создан под конкретного пользователя
а если двое других правильно ответят ???
я чисто гипотетически интересуюсь, вдруг вожделенный решатель не успеет ответить }}}}}
Ответы
Ответ дал:
3
Ответ:
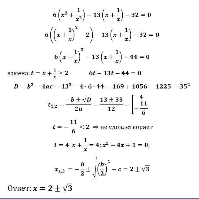
Напишу все на листочке:
Приложения:

Ответ дал:
6
Ответ:
Объяснение:
********************
Приложения:


Вас заинтересует
2 года назад
2 года назад
7 лет назад
7 лет назад
9 лет назад