• Предмет: Математика
  • Автор: seregakvasov316
  • Вопрос задан 3 года назад

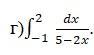
Очень срочно!!!!!!!! Вычислить интеграл

Приложения:

Ответы

Ответ дал: planpeace
0

Ответ:

Пошаговое объяснение:  

Вводим в дифф-л наш знаменатель и чтобы ничего не изменилось домножаем на -1/2

                                                                  2

-1/2 * ∫ d(5 - 2x)/(5 - 2x) = -1/2 * ln(5 - 2x) | = -1/2*(ln1 - ln7) = 1/2 * ln7

                                                                 -1

Вас заинтересует