• Предмет: Математика
  • Автор: ColodcaMolotov
  • Вопрос задан 3 года назад

Помогите пожалуйста​

Приложения:

Ответы

Ответ дал: dimauchenik654454
1

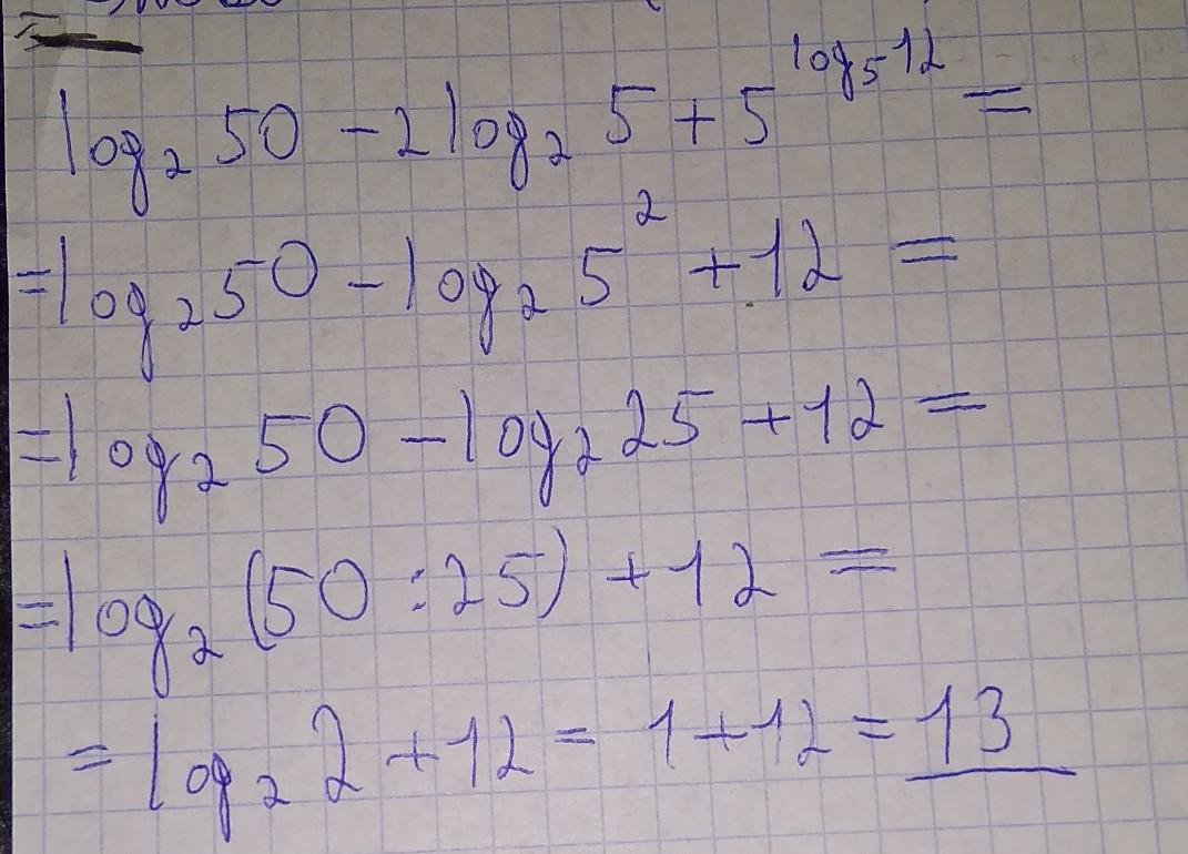
Ответ:

13

Пошаговое объяснение:

На фотографии.

Если что не понятно, пишите :-)

Приложения:
Вас заинтересует