Ответы
Ответ дал:
0
Ответ:
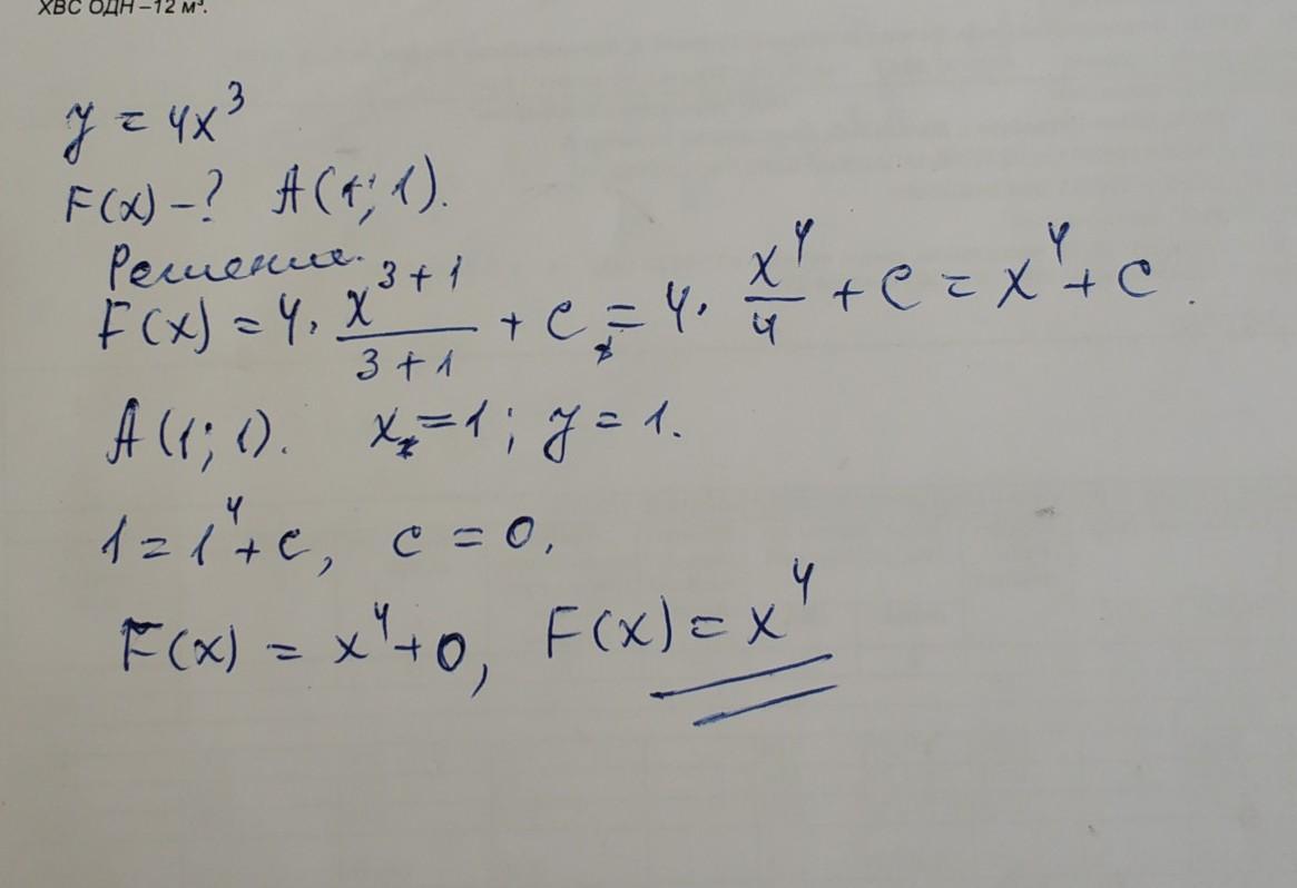
F(x)=x^4
Пошаговое объяснение:
решение во вложении
Приложения:

Вас заинтересует
2 года назад
2 года назад
2 года назад
2 года назад
7 лет назад
7 лет назад
9 лет назад