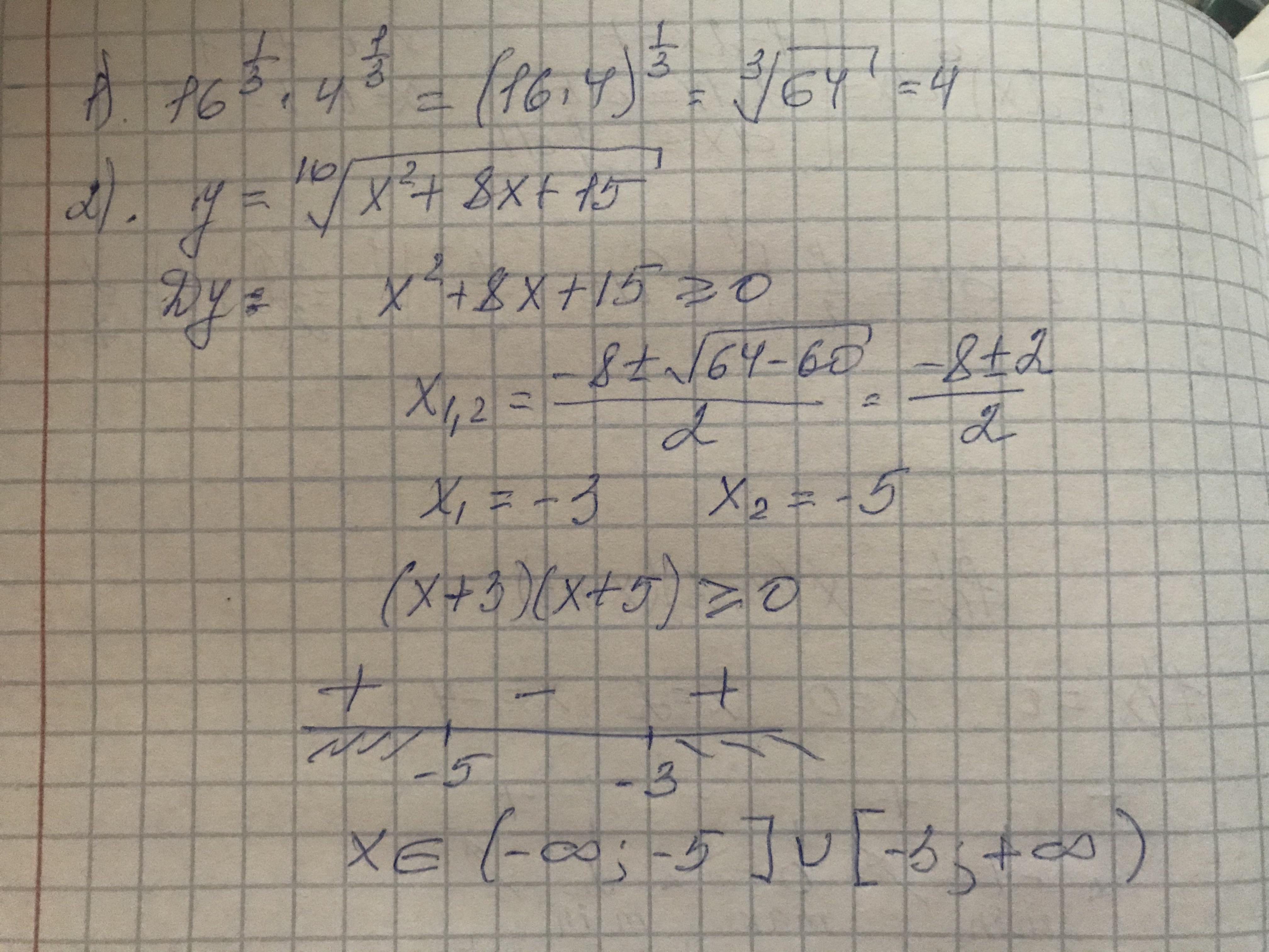
1.Упростить 16^1/3 * 4^1/3 1) 2 2) 4 3) 1 4) 5 Выберите правильный ответ 2. Найдите область определения функции у=х^2+8х+15 все в корне после равно(и в степени корня 10) 1) [-1;3] 2) [1;3] 3) -[3;5] 4) [3;5]
Ответы
Ответ дал:
1
Ответ:
==================================
Пошаговое объяснение:
Приложения:

stepanchenkomasha:
Можно вам в личку написать ?
Вас заинтересует
2 года назад
2 года назад
2 года назад
2 года назад
7 лет назад
7 лет назад