• Предмет: Математика
  • Автор: artembelov2014
  • Вопрос задан 3 года назад

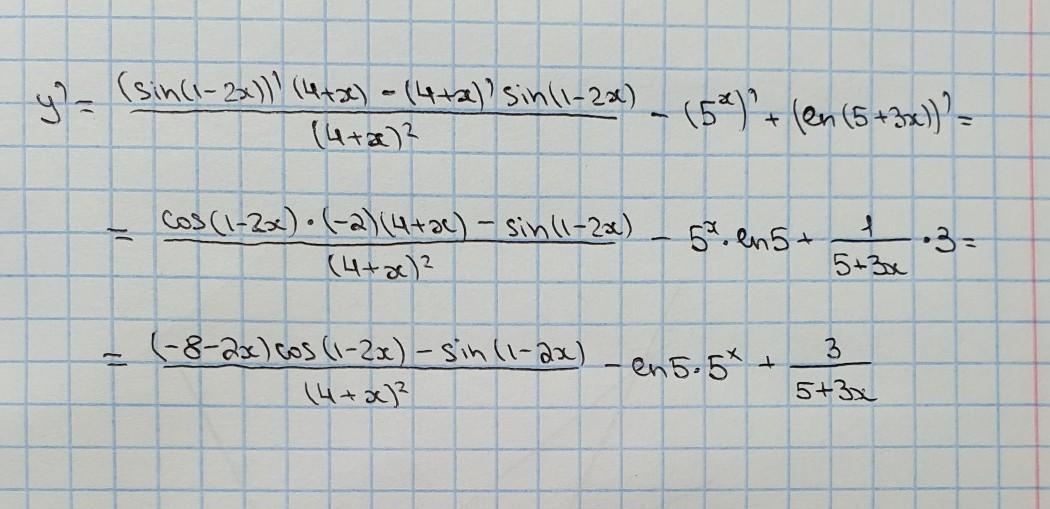
Вычислите производную функции

Приложения:

Ответы

Ответ дал: Miroslava227
0

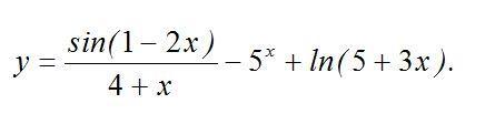
Ответ:

решение на фотографии

Приложения:
Вас заинтересует