• Предмет: Математика
  • Автор: dametov21
  • Вопрос задан 3 года назад

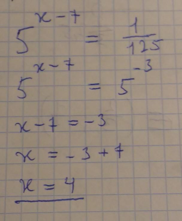
Найдите корень уравнения 5^x-7= дробь 1/125

Ответы

Ответ дал: dimauchenik654454
1

x=4

На фотографии изображено пошаговое объяснение

Приложения:
Ответ дал: Mr0tvet55555
0

Ответ:

x=4

Пошаговое объяснение:

5^x-7= \frac{1}{125}

5^x-7= 5^-^3

x-7=-3

x=-3+7

x=4

Вроде так)

Вас заинтересует