• Предмет: Алгебра
  • Автор: fdmignonfiodnvioerge
  • Вопрос задан 3 года назад

Решите систему линейных уравнений

Приложения:

Ответы

Ответ дал: dimauchenik654454
1

Ответ:

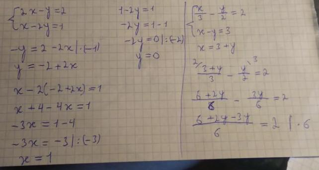
а) x=1 y=0

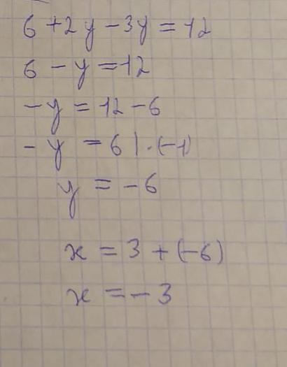
б) y=-6 x=-3

Объяснение:

На фотографиях.

Если что-то не понятно спроси, пожалуйста, я отвечу.

Приложения:

dimauchenik654454: Исправил первую фотографию. На ней изначально не было видно икса.
Ответ дал: Аноним
1

а)

2х-у=2  

х-2у=1  умножим на -2

------

2х-у=2   (1)

-2х+4у=-2   сложим

-------

3у=0;   у=0   подставим в (1)

2х=2;   х=1

ответ: (1; 0)

б)

х/3 - у/2=2   умножим на 6

х-у=3  (1)          умножим на -2

------

2х - 3у=12

-2х + 2у=-6    сложим

------

-у=6;   у=-6  подставим в (1)

х+6=3; х=-3

ответ: (-3; -6)

Вас заинтересует