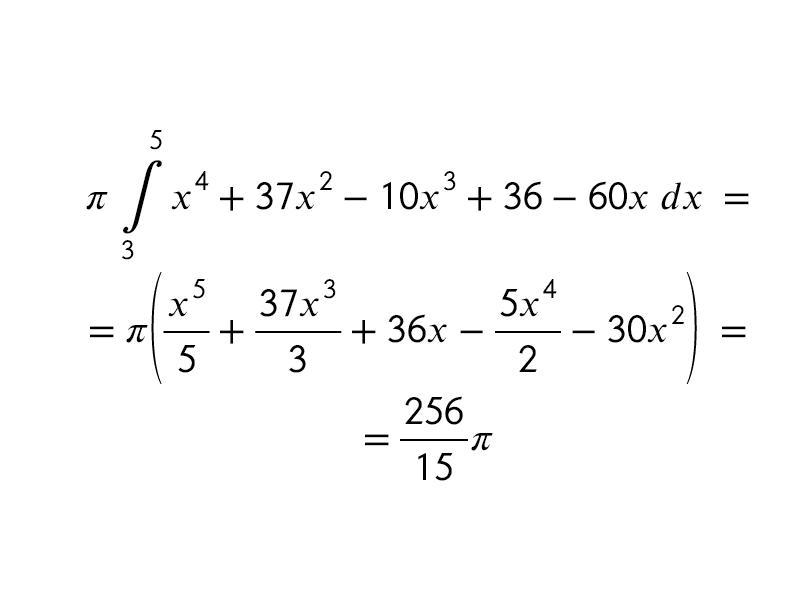
Помогите пожалуйста!!! Вычислить объем тела, образованного вращением фгуры, ограниченной указанными линиями, вокруг оси ox. Изобразить фигуру на рисунке y=x²-5x+6, y=0, x=3, x=5
Ответы
Ответ дал:
1
Ответ:
Пошаговое объяснение:
Приложения:
Вас заинтересует
2 года назад
2 года назад
2 года назад
2 года назад
8 лет назад
8 лет назад
9 лет назад
9 лет назад