Ответы
Ответ дал:
9
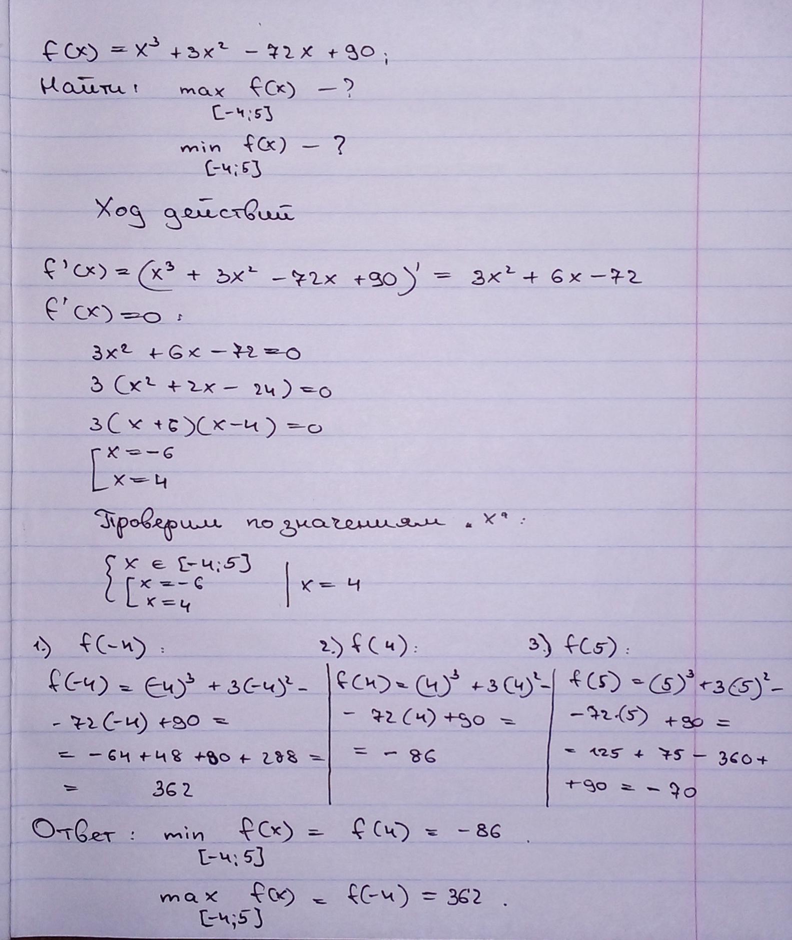
Ответ и подробное решение на фото:
Приложения:

soul111141:
спасибо
Вас заинтересует
2 года назад
2 года назад
2 года назад
7 лет назад
9 лет назад