• Предмет: Математика
  • Автор: obodovaekaterina
  • Вопрос задан 3 года назад

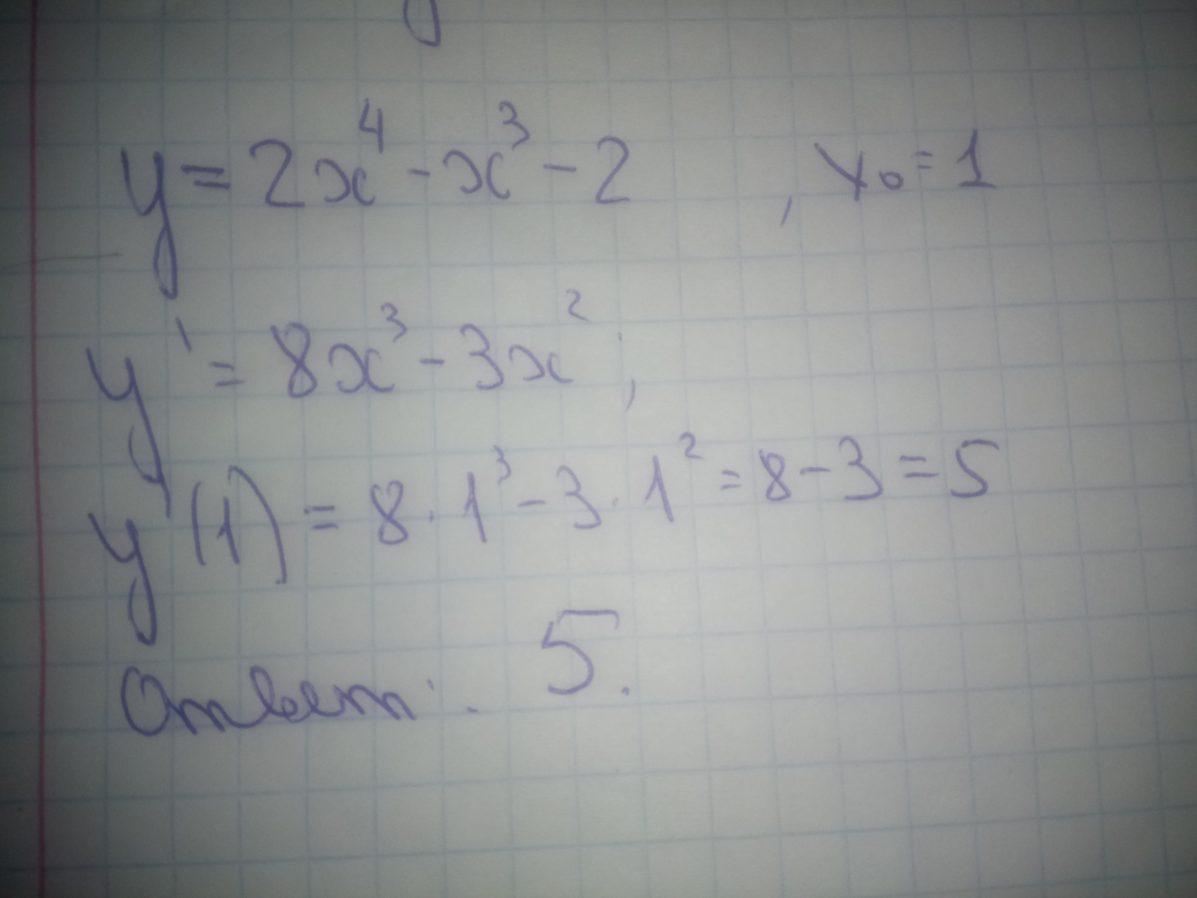
Производная функции y=2x^4-x^3-2 в точке х=1 равна А) 3 С) 5 В) 1 Д) 0

Ответы

Ответ дал: DlowPro
1

Ответ:

5

Пошаговое объяснение:

y'=8x^3-3x^2

y'(1)=8*1-3*1=8-3=5

Ответ дал: Аноним
1

Ответ 5

Решение здания прилагаю

Приложения:
Вас заинтересует