Ответы
Ответ дал:
0
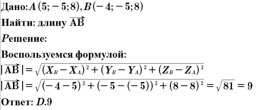
Ответ:
D.9
Пошаговое объяснение:
Приложения:

Ответ дал:
0
Ответ:
Пошаговое объяснение:
Модуль вектора вычислим так :
Вас заинтересует
2 года назад
2 года назад
2 года назад
7 лет назад
9 лет назад
9 лет назад