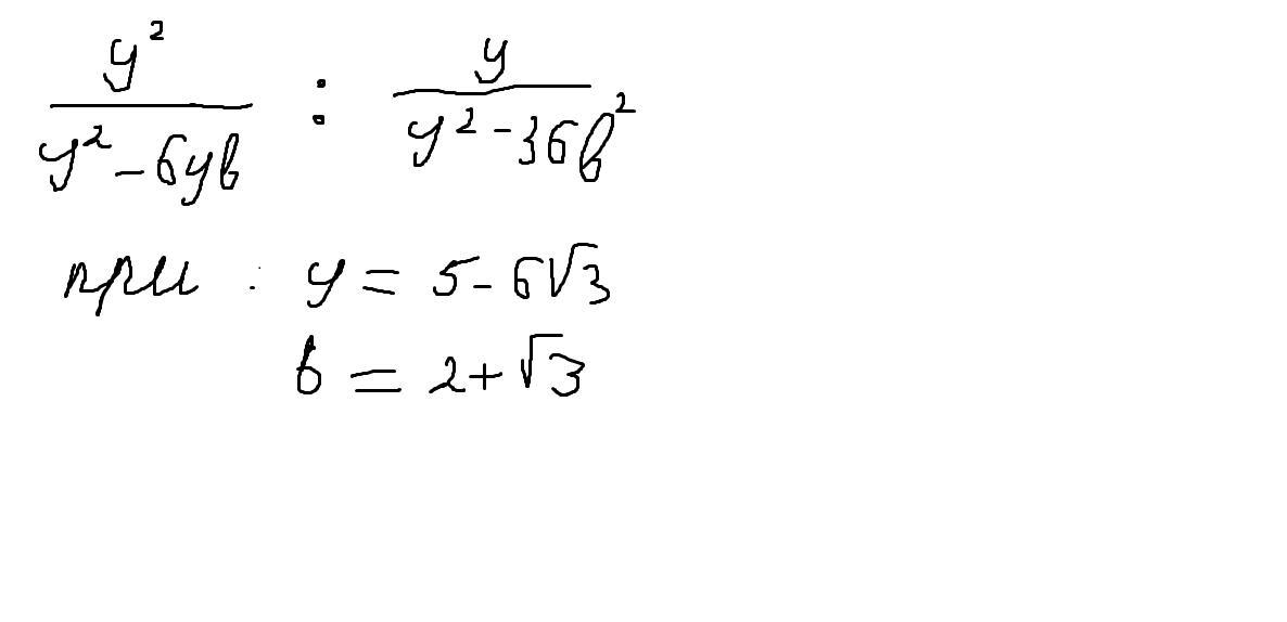
Найдите значение выражения 1) нужно сократить выражение и подставить вместо y и b данные значения
Приложения:

Zombynella:
Спасибо)
Ответы
Ответ дал:
1
Ответ:
17.
Объяснение:
Найти значение выражения:
[у²/(у²-6уb)] : [y/(y²-36b²)]= 17 при у=5-6√3; b=2+√3.
В первом знаменателе вынести у за скобки, во втором знаменателе разность квадратов, развернуть:
=[у²/у(у-6b)] : [y/(y-6b)(у+6b)]=
Чтобы разделить дробь на дробь, нужно числитель первой дроби умножить на знаменатель второй дроби, а знаменатель первой умножить на числитель второй дроби:
=[y²*(y-6b)(у+6b)] / [у(у-6b)*y]=
Сокращение у, у и у²; (y-6b) и (y-6b) на (y-6b):
=у+6b=
=5-6√3+6(2+√3)=
=5-6√3+12+6√3=
=5+12=17.
Вас заинтересует
2 года назад
2 года назад
7 лет назад
9 лет назад