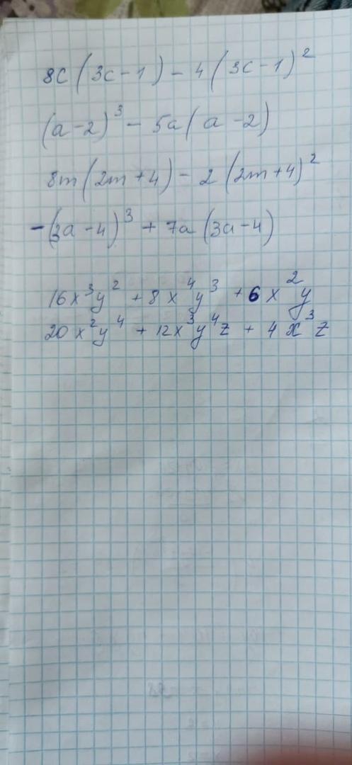
Помогите с решением.
Приложения:

MDNAI:
Здравствуйте, необходимо упростить?
Ответы
Ответ дал:
0
Ответ:
1. -12с в квадрате +2с -1
2. -9а в кубе - 8 - 5а в квадрате -10а
3. 8м в квадрате - 20 - 27а в кубе+ 36а в квадрате - 97
А четвёртый просто лень)
Вас заинтересует
2 года назад
2 года назад
7 лет назад
7 лет назад
9 лет назад