• Предмет: Математика
  • Автор: viktorijavusochan124
  • Вопрос задан 3 года назад

Допоможіть будь ласкаааа(((​

Приложения:

Ответы

Ответ дал: irvasdm
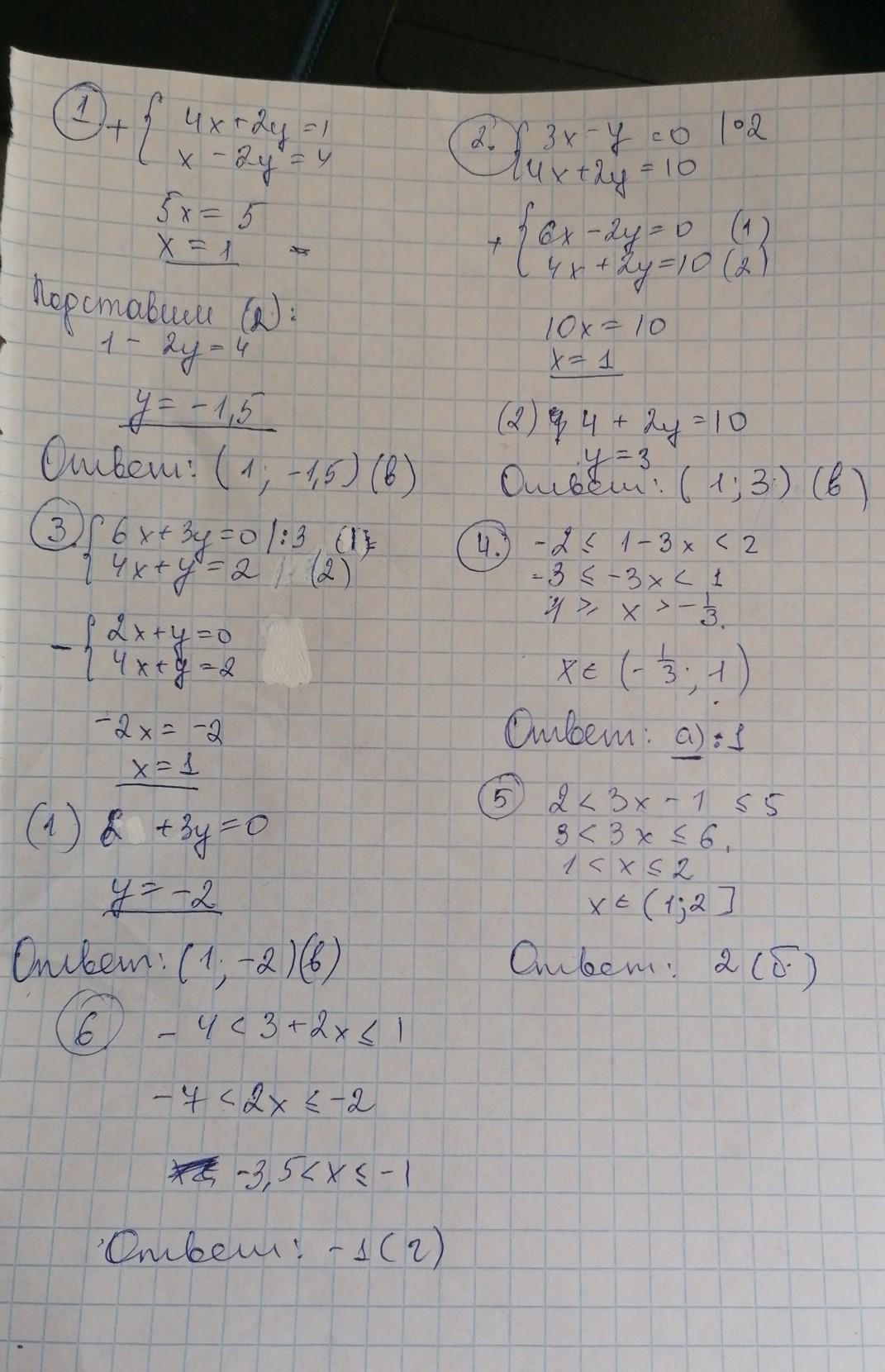
1

Пошаговое объяснение:

Ответ ищи в фотографии

Приложения:

irvasdm: можешь потом отметить как лучший, пожалуйста
viktorijavusochan124: у меня на аккауте есть ещё вопросы по математике, если не сложно ответь пожалуйста ♥ (
irvasdm: мне кажется уже на все отвечено, нет?
viktorijavusochan124: неа
irvasdm: спасибо, я прравда не могла найти
Вас заинтересует