Ответы
Ответ:
Объяснение:
*************************



Ответ:
(1;3) (0.6;4.2)
(1;1) (-1;1) (1;-1) (-1;-1)
(0;-6) (4;-2)
Объяснение:
!!!!!!!!!
Решите систему:
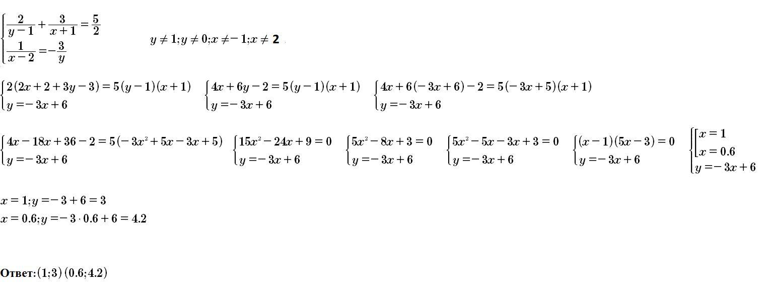
ODZ:
(x+1)(-3x+5)≠0
x≠-1 ; 1 2/3
x₁=(8+2)/10=1;
x₂=(8-2)/10=6/10=3/5
Подставим:
x₁=1
x₂=3/5 = 0.6
⇒⇒⇒⇒⇒⇒⇒⇒⇒⇒
y₁=3
y₂=4.2
Получим ответ:
(1;3) (0.6;4.2)
Вторая система:
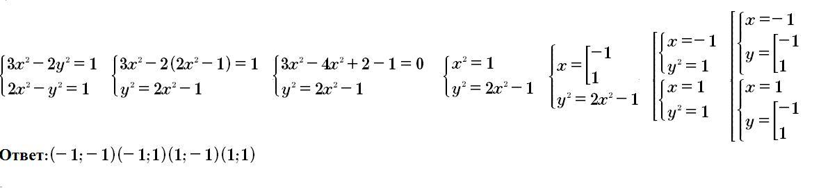
3x²-2y²=1 ⇒ 3x²-2y²=1
2x²-y²=1 -4x²+2y²=-2
3x²-2y²-4x²+2y²=1+(-2)
-x²=-1
x²=1
x=±1
x₁=1
x₂=-1
Подставим:
2x²-y²=1
2-y²=1
-y²=-1
y²=1
y=±1
2x²-y²=1
2-y²=1
-y²=-1
y²=1
y=±1
Получим 4 решения:
(1;1) (-1;1) (1;-1) (-1;-1)
Третья система:
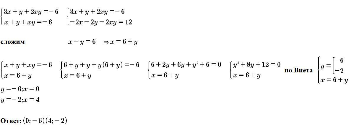
3x+y+2xy=-6 ⇒ 3x+y+2xy=-6
x+y+xy=-6 -2x-2y-2xy=12
3x+y+2xy-2x-2y-2xy=-6+12
x-y=6
-x+y=-6
y=-6+x
Подставим:
x+y+xy=-6
x+(-6+x)+x(-6+x)=-6
x-6+x-6x+x²+6=0
x²-4x=0
x(x-4)=0
x=0 или x-4=0
x=4
x₁=0
x₂=4
Подставим:
y=-6+x y=-6+x
y=-6+0 y=-6+4
y=-6 y=-2
y₁=-6
y₂=-2
Запишем решение;
(0;-6) (4;-2)