Найти точки экстремума функции найдите точку экстремума функции
x3-значит в кубе,x2-в квадрате
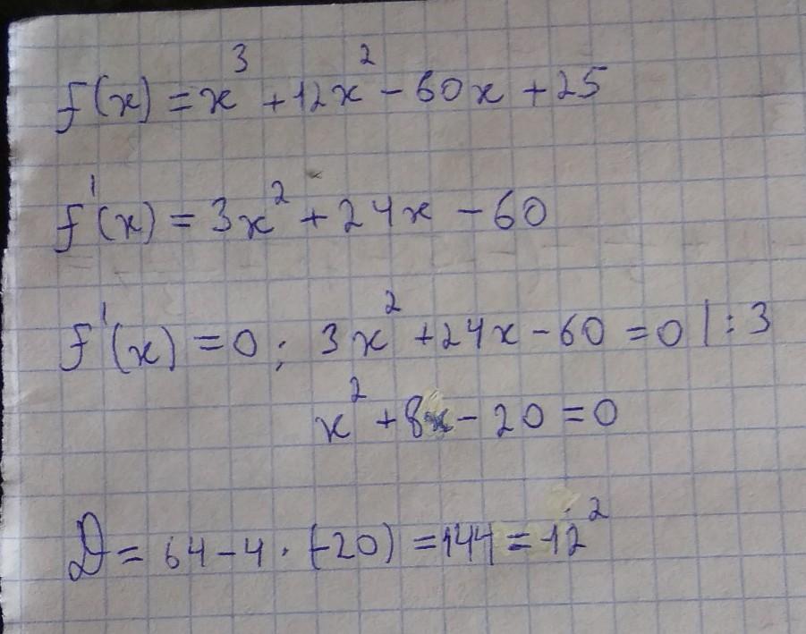
f (x)=X3+12X2-60X+25
Ответы
Ответ дал:
0
Точки экстремума функции -10 ; 2
Подробнее на трёх фотографиях.
Приложения:



Вас заинтересует
2 года назад
2 года назад
2 года назад
2 года назад
7 лет назад
7 лет назад
9 лет назад