Ответы
Ответ дал:
0
Ответ:
Пошаговое объяснение:
Приложения:

Ответ дал:
0
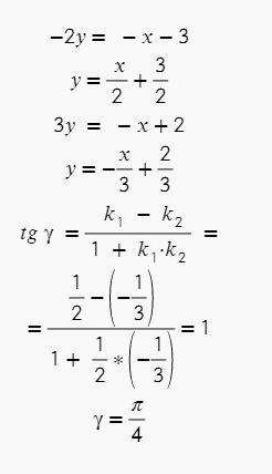
Т.к. прямые заданы общими уравнениями x+3y-2=0 и x-2y+3=0, в общем виде
а₁х +b₁у+с₁=0 и а₂х+b₂у+с₂=0, то угол лучше искать с помощью формулы
сosα=(a₁*a₂+b₁*b₂)/(√(a₁²+b₁²)*(a₂²+b₂²))
сosα=(-1*1+2*3)/(√(1+4)*(1+9))=5/5√2=1/√2⇒α=45°
Вас заинтересует
2 года назад
2 года назад
2 года назад
7 лет назад
7 лет назад
9 лет назад