Ответы
Ответ дал:
1
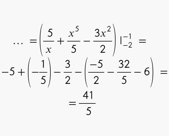
Ответ:8.2; нужна минута, чтобы бросить ответ во вложение. Не открывается.
Пошаговое объяснение:
Приложения:

Ответ дал:
1
Ответ:
Пошаговое объяснение:
Приложения:

Вас заинтересует
2 года назад
2 года назад
2 года назад
2 года назад
7 лет назад
9 лет назад