Помогите пожайлуста!!! очень надо!!! Python 3.​

Приложения:

Ответы

Ответ дал: dimb0r22
1

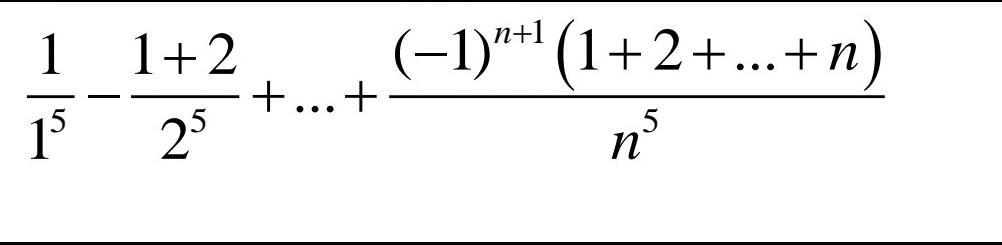
Код + скриншот с кодом и выводом компилятора:

n = int(input("Enter: n = "))

result = 0

addition = 0

second_brackets = 0

for i in range(1,n+1):

   second_brackets += i

   addition = ((-1)**(i+1))*(second_brackets)/(i**5)

   result += addition

print("Result = ",'{:.2f}'.format(result))

Приложения:

rostnov7: можешь ещё парочку решить?
dimb0r22: Да, конечно
rostnov7: ты сделаешь до 6?
rostnov7: очень нужно
dimb0r22: Я попробую ещё 1-2 задачи для Вас решить
dimb0r22: Принцип решения некоторых мне не знаком
dimb0r22: Но я постараюсь что-то придумать
rostnov7: благодарю
rostnov7: но если получится,то пожайлуста все 3 мне это очень надо и важно
dimb0r22: Постараюсь
Вас заинтересует