• Предмет: Математика
  • Автор: Poolofdeadpeople
  • Вопрос задан 3 года назад

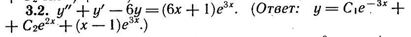
Помогите решить дифференциальное уравнение. Нужно подробное решение, ответ есть

Приложения:

Ответы

Ответ дал: Miroslava227
1

Ответ:

решение на фотографии

Приложения:

Poolofdeadpeople: спасибо за подробное решение c:
Вас заинтересует