• Предмет: Алгебра
  • Автор: zubnojfej
  • Вопрос задан 3 года назад

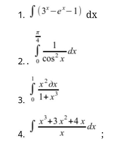
решите интеграл. любой на выбор.​

Приложения:

mmb1: Зубной фей ??????
4. это степенная (x^2 + 3x + 4) dx = x^3/3 + 3x^2/2 + 4x + cx
3. x^2 dx = 1/3 d(x^3)

Ответы

Ответ дал: dashuliageorgieva
1

Ответ:

ниже и там на фотке решение

Приложения:
Вас заинтересует