• Предмет: Математика
  • Автор: eygeny24312
  • Вопрос задан 3 года назад

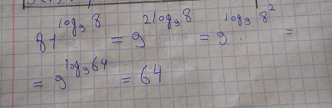
помогите с математикой​

Приложения:

Ответы

Ответ дал: dimauchenik654454
0

Ответ:

64

Пошаговое объяснение:

Показано на фотографии

Приложения:
Вас заинтересует