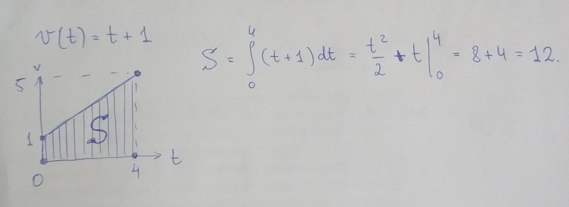
Если скорость материальной точки, движущейся прямолинейно, равна v (t)=t+1 , тогда путь S, пройденный точкой за время t = 4 от начала движения, равен …
Ответы
Ответ дал:
0
Ответ:
Путь S равен 12. Подробнее на фото.
Приложения:

Вас заинтересует
2 года назад
2 года назад
2 года назад
2 года назад
7 лет назад
9 лет назад