• Предмет: Математика
  • Автор: ssssmush
  • Вопрос задан 3 года назад

ПОМОГИТЕ ПОЖАЛУЙСТА !!!!!!!!!!!

Приложения:

Ответы

Ответ дал: pushpull
0

Ответ:

Пошаговое объяснение:

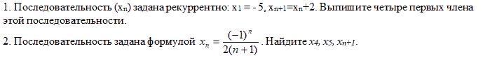
1) х₁ = -5

x_{n+1} = x_{n} +2

x₂ = -3

x₃ = -1

x₄ = 1

2)

x_{n} = \frac{(-1)^{n} }{2(n+1)}

x_{4} = \frac{(-1)^{4} }{2(4+1)}  = \frac{1}{10}

x_{5} = \frac{(-1)^{5} }{2(5+1)}  = - \frac{1}{12}

x_{n+1} = \frac{(-1)^{n+1} }{2(n+1+1)} =  \frac{(-1)^{n+1} }{2(n+2)}

Вас заинтересует