Ответы
Ответ дал:
0
Ответ:
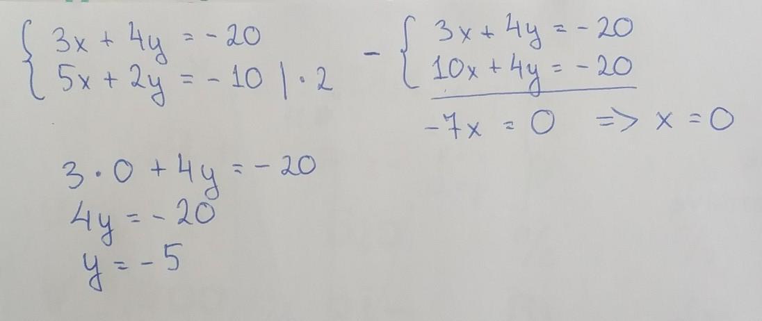
х = 0, у = –5
Подробнее на фото.
Приложения:

Ответ дал:
0
Ответ:
(0; -5)
Объяснение:
Вас заинтересует
2 года назад
2 года назад
2 года назад
2 года назад
7 лет назад
7 лет назад
9 лет назад
9 лет назад