• Предмет: Алгебра
  • Автор: frathisko
  • Вопрос задан 3 года назад

ПАМАГИТЕ РЕШИТЬ ИНТЕГРАЛЫ. МНЕ СРОЧНО. ПЖЛСТА ЛЮДИ!! СКРИН ЕСТЬ.

Приложения:

Ответы

Ответ дал: NNNLLL54
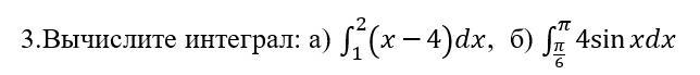
1

\int\limits^2_1\, (x-4)\, dx=\dfrac{(x-4)^2}{2}\Big|_1^2=\dfrac{4}{2}-\dfrac{9}{2}=-\dfrac{5}{2}=-2,5\\\\\\\\\int\limits^{\pi }_{\pi /6}\, 4\, sinx\, dx=-4cosx\Big|_{\pi /6}^{\pi }=-4\, \Big(cos\pi -cos\dfrac{\pi}{6}\Big)=-4\, \Big(-1-\dfrac{\sqrt3}{2}\Big)=\\\\\\=4+2\sqrt3=2\, (2+\sqrt3)


frathisko: да ты ж мой родненький(-кая) спасиииибо
NNNLLL54: -кая...
frathisko: спасибо тебе <3
Аноним: Доброго времени суток. Могли бы глянуть этот вопрос?
https://znanija.com/task/37736160?utm_source=android&utm_medium=share&utm_campaign=question
Вас заинтересует