• Предмет: Алгебра
  • Автор: madinaborankul
  • Вопрос задан 11 лет назад

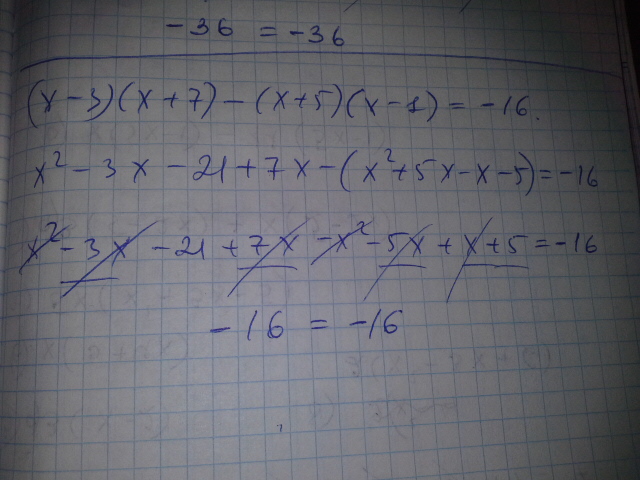
(x-5)(x+8)-(x+4)(x-1)=-36

Ответы

Ответ дал: prostomama1
0
Если тождество та так смотри фото
Приложения:
Ответ дал: aidanka3
0
-16=-16
Ответ дал: madinaborankul
0
^ а что это мы не прошли это 2квадрат
Ответ дал: aidanka3
0
да это значит в квадрате
Ответ дал: madinaborankul
0
а спс большоееееееееее
Вас заинтересует