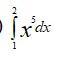
1. Найти производную функции: а) у = 6х5 - 4х2 + 2 b) у = ех * (x3 + 1) 2) Вычислить интеграл (прикрепил скрин)
Приложения:

Ответы
Ответ дал:
0
Ответ:
Пошаговое объяснение:
a) у = 6х⁵ - 4х² + 2
y' = 6(x⁵)' -4(x²)' +(2)' = 6*5x⁴ -4*2x +0= 30x⁴-8x
b) у = еˣ * (x3 + 1)
[ (uv)' = vu' +v'u ; u = еˣ; v = (1+x³)]
y' = (1+x³) (еˣ)' + еˣ(1+x³) = еˣ(1+x³) +еˣ(1)' + еˣ (x³)'=
еˣ (1+x³) +0 +еˣ * 3x² =
= еˣ (1+x³ +3x²)
2)
Вас заинтересует
2 года назад
2 года назад
7 лет назад
7 лет назад
9 лет назад