Ответы
Ответ дал:
1
Ответ:
9
Пошаговое объяснение:
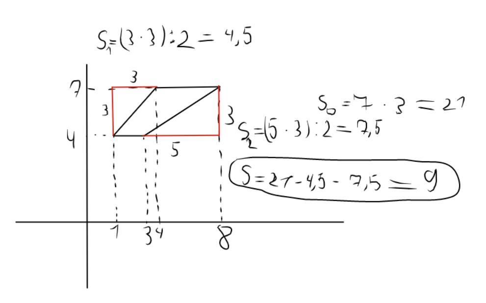
1) сначала достраиваем фигуру до прямоугольника и находим величену достроеных отрезков.
2)Находим площадь всего прямоугльника
3) находим площадь треугольников с красными сторонами
4) вычитаем площадь этих треугольников из общей площади прямоугольника и получаем площадь данной фигуры
Приложения:

Вас заинтересует
2 года назад
2 года назад
2 года назад
7 лет назад
7 лет назад
9 лет назад
9 лет назад