• Предмет: Математика
  • Автор: filvex1
  • Вопрос задан 3 года назад

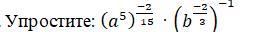
упростите выражения пожалуйста мне срочно

Приложения:

Ответы

Ответ дал: MathDaddy
0

Ответ:

 {( {a}^{5}) }^{ \frac{ - 2}{15} }  =  {a}^{ \frac{ - 10}{15} }  =  {a}^{ \frac{ - 2}{3} }  =  \frac{1}{ {a}^{ \frac{2}{3} } }  =  \frac{1}{ \sqrt[3]{ {a}^{2} } }  \\  ({b}^{ \frac{ - 2}{3}}  {)}^{ - 1}  =  {b}^{ \frac{2}{3} }  =  \sqrt[3]{ {b}^{2} }

Ответ дал: binamaksimchuk
0

Ответ:

Пошаговое объяснение:

a^{-\frac{2}{3} } *b^{\frac{2}{3} } =\frac{1}{a^{\frac{2}{3} } } *\sqrt[3]{b^{2} } =\frac{\sqrt[3]{b^{2} }}{\sqrt[3]{a^{2} }}

Вас заинтересует