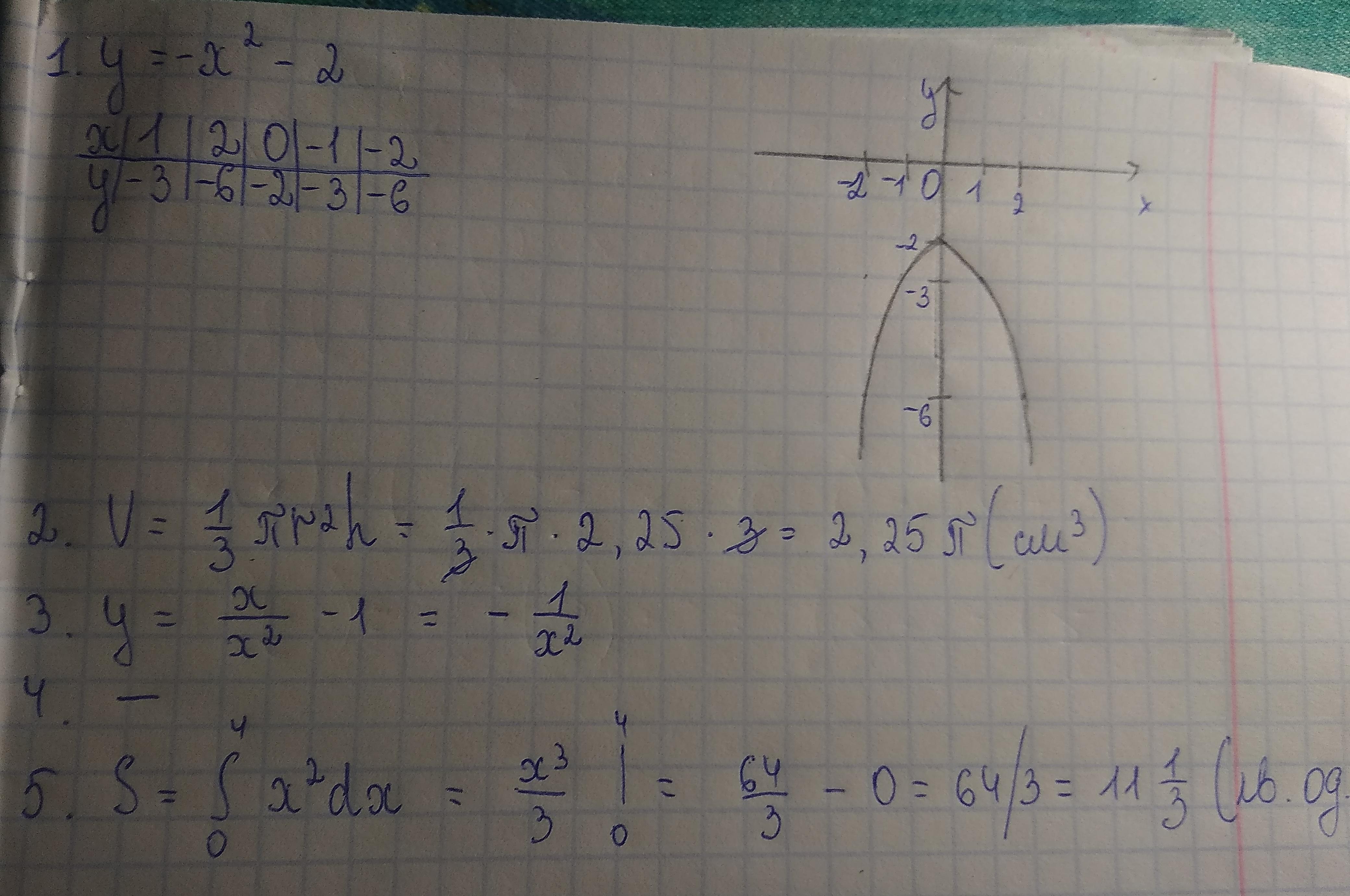
1. построить график функции y=-x^2-2 2. найти объём конуса, высота которого 3см а радиус основания 1.5см 3.вычислить производную функции y=x/x^2-1 4. найти точки перегиба функции y=4x^3-3x^2-36x-10 5. вычислить площадь фигуры, ограниченной линиями y=x^2 y=0 x=0 x=4
Ответы
Ответ дал:
0
Четверте завдання не вирішила
Приложения:

Вас заинтересует
2 года назад
2 года назад
2 года назад
7 лет назад
7 лет назад
9 лет назад