Ответы
Ответ дал:
1
Ответ:
Объяснение:
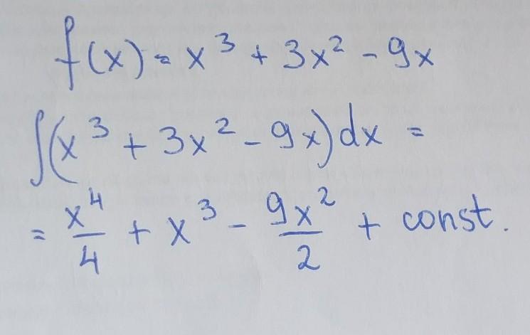
∫(x³+3x²-9x)dx= ∫x³dx+3∫x²dx-9∫xdx= x⁴/4 + x³- 9x²/2 +C
Ответ дал:
1
Подробное решение на фотографии.
Приложения:

Вас заинтересует
2 года назад
7 лет назад
7 лет назад
9 лет назад