Ответы
Ответ дал:
1
Пошаговое объяснение:
Будут вопросы - пиши. Удачи.
Приложения:

vityamath:
где проверка ?
Ответ дал:
1
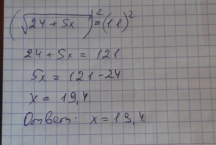
Ответ:
19.4
Пошаговое объяснение:
Возведем в квадрат:
24+5x=121
24+5x-121=0
5x-97=0
5x=97
x=97/5
x=19.4
проверка:
√24+5*19.4=11
√24+97=11
√121=11
11=11
Верно.
Вас заинтересует
2 года назад
2 года назад
7 лет назад
9 лет назад