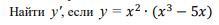
Пожалуйста, очень срочно. Найти y, если (инфа на изображении)
Приложения:

Simba2017:
y=x^5-5x^3
Ответы
Ответ дал:
0
Ответ:
Пошаговое объяснение:
y'= (x²)'(x³-5x)+x²(x³-5x)'= 2x(x³-5x)+x²(3x²-5)= 2x⁴-10x²+3x⁴-5x²= 5x⁴-15x²
Вас заинтересует
2 года назад
2 года назад
2 года назад
2 года назад
7 лет назад
9 лет назад