Ответы
Ответ дал:
1
Ответ:
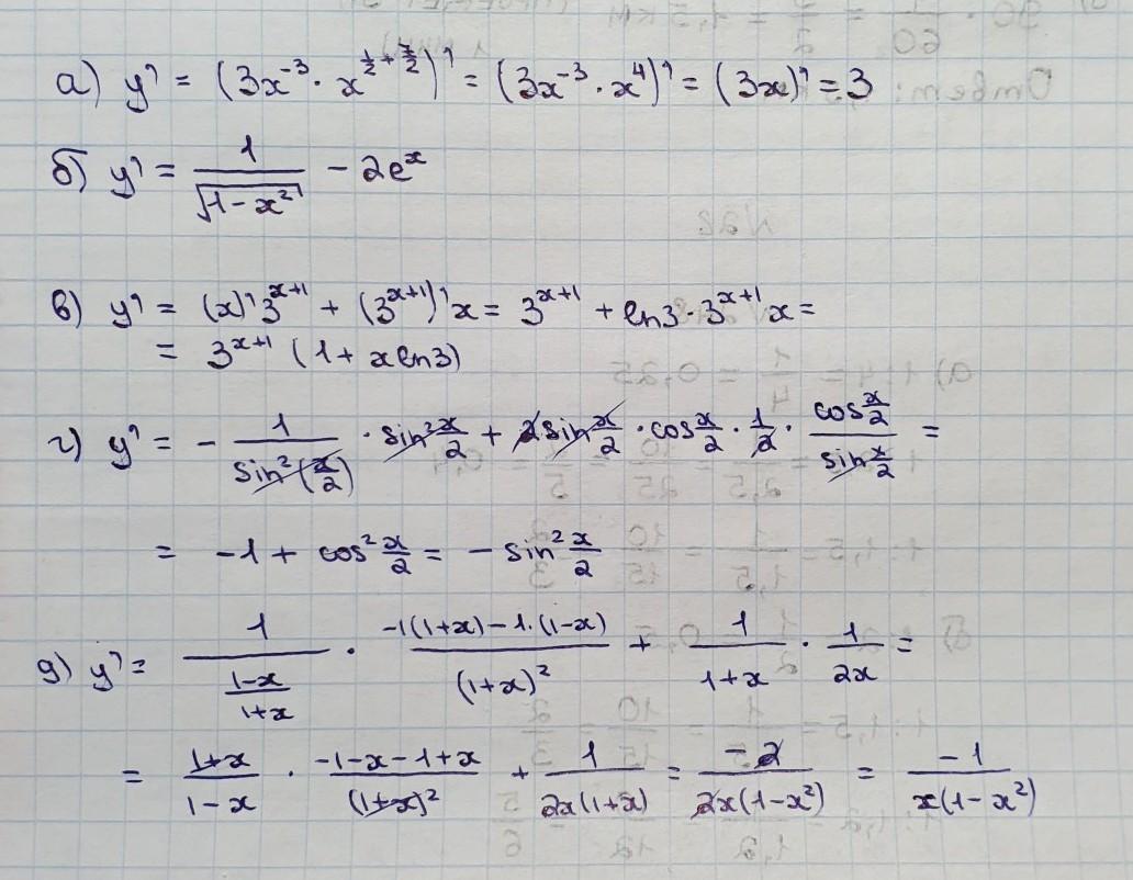
решение на фотографиях
Приложения:


maykvazovski:
Напиши свой номер карты, если там действительно все правильно, если хочешь, я пришлю тебе 200р. Большое спасибо!
Вас заинтересует
2 года назад
2 года назад
2 года назад
7 лет назад
7 лет назад
9 лет назад