• Предмет: Физика
  • Автор: NadyaCat2020
  • Вопрос задан 3 года назад

Подскажите, пожалуйста, что это за соединение Буду благодарна)

Приложения:

Ответы

Ответ дал: DedStar
1

Ответ:

Объяснение:

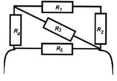
Это смешанное соединение проводников.

Пронумеруем сопротивления

Тогда:

R₁ и R₂ соединены последовательно, поэтому:

R₁₂ = R₁ + R₂

Аналогично:

R₄₅ = R₄ + R₅

И теперь все резисторы соединены параллельно:

1/R = 1/R₁₂ + 1/R₃ + 1/R₄₅

Приложения:

NadyaCat2020: Спасибо большое, так и знала
DedStar: Вы знали? А что же мне не сказали? :)))
NadyaCat2020: Ну, я предполагала ))Я просто хотела увидеть полный ответ
DedStar: Да я пошутил :))
Вас заинтересует