Ответы
Ответ дал:
0
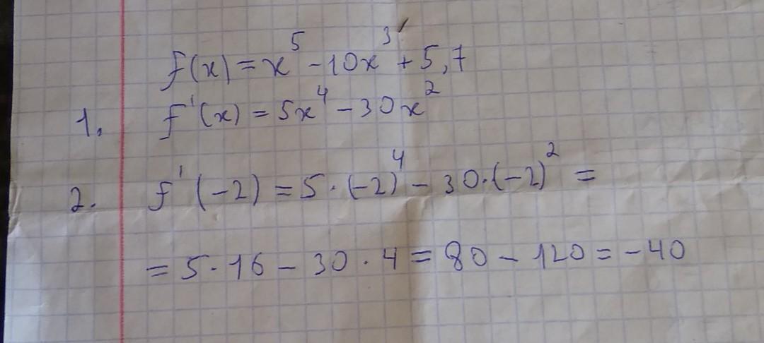
Ответ:
-40
Пошаговое объяснение:
1. Находим производную.
2. Подставляем заданное значение в эту производную.
Решение на фотографии.
Я не знаю, почему -40 нету в ответах.
Приложения:

Вас заинтересует
2 года назад
2 года назад
2 года назад
2 года назад
7 лет назад
7 лет назад
9 лет назад