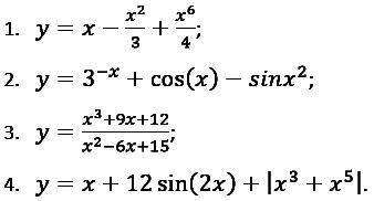
ПОМОГИТЕ ПОЖАЛУЙСТА!!! ДАЮ 25 БАЛЛОВ! Вычислить в Паскаль:

Приложения:

Ответы

Ответ дал: LRSM
0

PascalABC.NET

Ответ:

  • x-x**2/3+x**6/4
  • 3**(-x)+Cos(x)-Sin(x**2)
  • (x**3+9*x+12)/(x**2-6*x+15)
  • x+12*Sin(2*x)+Abs(x**3+x**5)
Вас заинтересует