• Предмет: Физика
  • Автор: Anstapbl
  • Вопрос задан 3 года назад

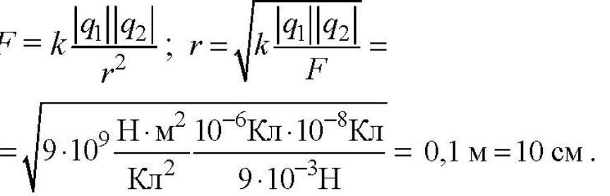
Решите задачу: На каком расстоянии друг от друга в воде взаимодействуют заряды 1 мкКл 10 мкКл с силой 9 мН?

Ответы

Ответ дал: horoshiysobaka
2

Ответ:

r = 10

Объяснение:

Дано

q1 = 1мкКл = 10^-6 Кл

q2 = 10 нКл = 10^-8 Кл

F = 9 мН = 9*10^-3 Н

Приложения:
Вас заинтересует