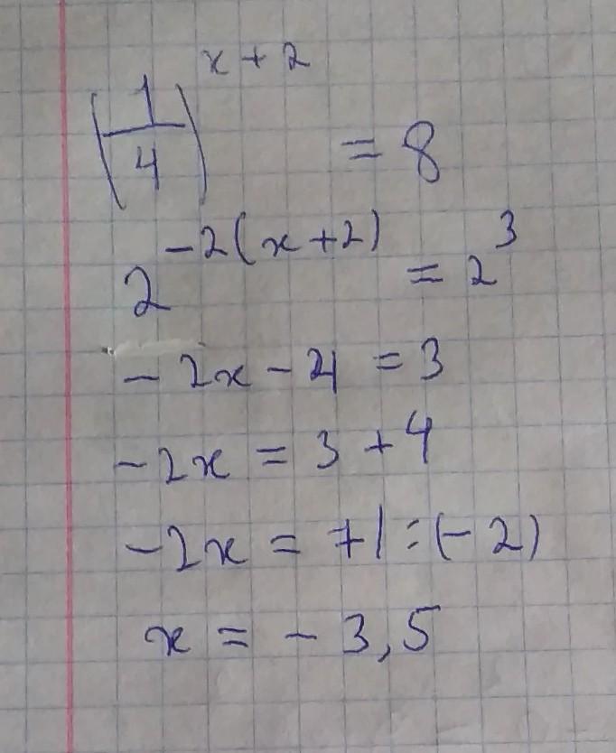
решить уравнение (0,25)в степени x+2(x+2 вместе в степени)=8
Аноним:
Я могу решать тебе задания по математике с подробным решением в любое время. Хочешь?
Ответы
Ответ дал:
3
Ответ:
-3,5
Пошаговое объяснение:
Показано на фотографии
Приложения:

Вас заинтересует
2 года назад
2 года назад
2 года назад
7 лет назад
9 лет назад
9 лет назад