все 4 пожалуйста. 50 баллов даю!!!))))Срочно, пожалуйста
Приложения:

nikitkackoro:
только пожалуйста подробно
Ответы
Ответ дал:
1
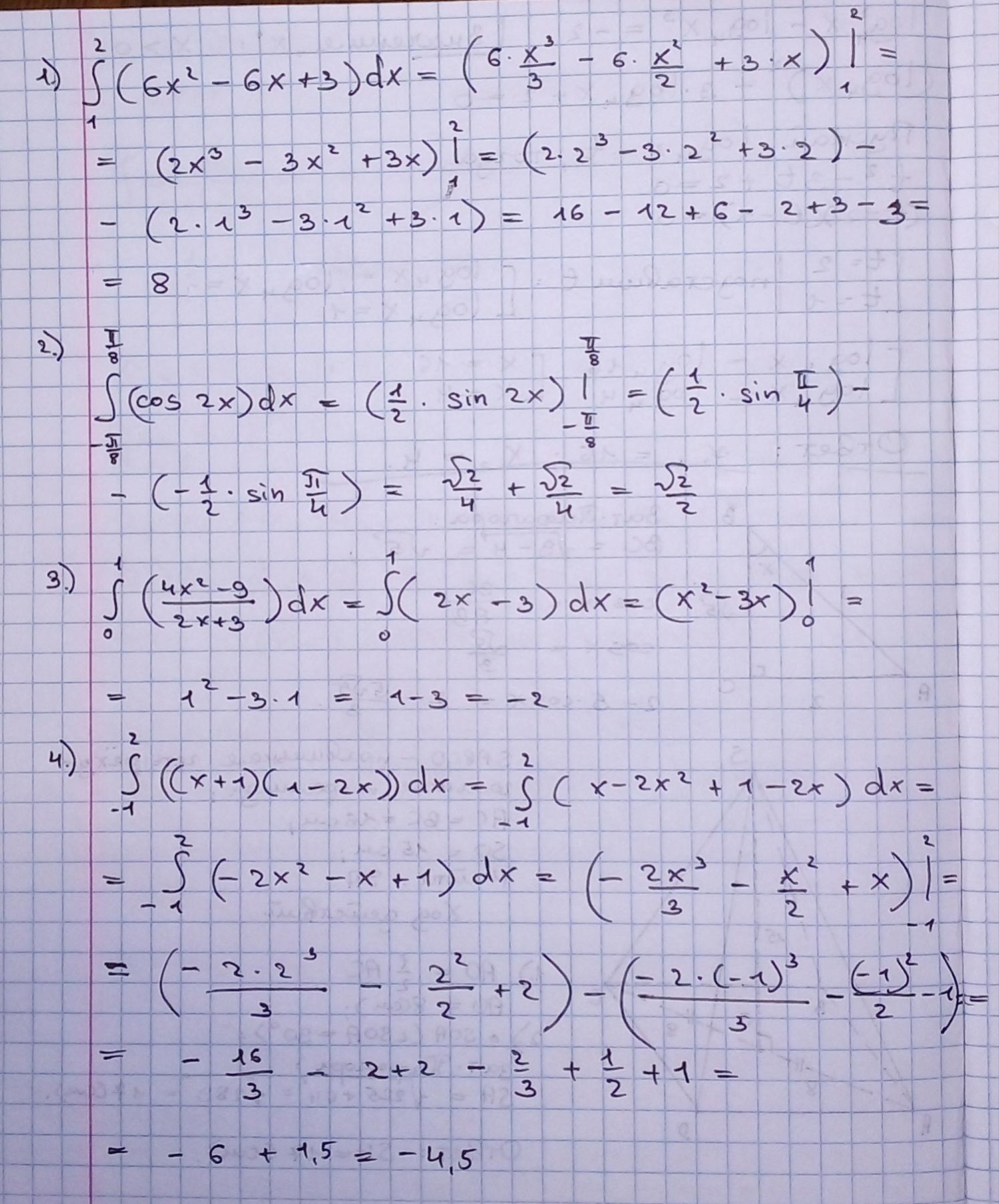
Ответы и подробные решения на фото:
Приложения:

Ответ дал:
0
Ответ:
Вас заинтересует
2 года назад
2 года назад
2 года назад
7 лет назад
7 лет назад
9 лет назад
9 лет назад